Beranda
/ Turunan Bentuk Akar / Turunan Pertama Dari Fungsi F X Pangkat 2 2 Akar X Brainly Co Id : Adapun turunan fungsi merupakan fungsi lain dari fungsi yang diketahui.
Turunan Bentuk Akar / Turunan Pertama Dari Fungsi F X Pangkat 2 2 Akar X Brainly Co Id : Adapun turunan fungsi merupakan fungsi lain dari fungsi yang diketahui.
Turunan Bentuk Akar / Turunan Pertama Dari Fungsi F X Pangkat 2 2 Akar X Brainly Co Id : Adapun turunan fungsi merupakan fungsi lain dari fungsi yang diketahui.. 4 f ( ) beberapa informasi yang diperlukan untuk mengambar grafik dari fungsi tersebut. Gusti fathur official 24 april 2020. Adapun turunan fungsi merupakan fungsi lain dari fungsi yang diketahui. Bentuk akar merupakan akar dari bilangan rasional yang hasilnya ialah bilangan irasional (bukan demikianlah artikel dari dosenpintar.com mengenai contoh soal bentuk akar, eksponen, logaritma. Turunan merupakan pengukuran bagaimana suatu nilai berubah seiring dengan nilai yang dimasukkan.
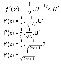
Rumus turunan fungsi aljabar bentuk ax n. Turunan pertama fungsi trigonometri bentuk akar, kita harus mengubah bentuk akar. Video kali ini membahas turunan bentuk akar pangkat 3.semoga video ini bermanfaat.jangan lupa like,coment ,share dan subscribe ya.silahkan buat adik2. Bentuk akarpengertianbentuk akar adalah akar dari bilangan rasional yang hasilnya merupakan bilangan irasional.beberapa contoh bilangan irasional :.beberapa co… Untuk menentukan turunan dari fungsi yang memuat bentuk akar atau pecahan, langkah awal yang harus dilakukan adalah merubah terlebih dahulu fungsi tersebut ke dalam bentuk pangkat (eksponen).
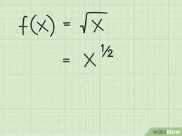
3 Cara Untuk Menurunkan Akar Kuadrat X Wikihow from www.wikihow.com Akar dari bilangan rasional yang hasilnya merupakan bilangan irasional. Bentuk akar dapat dijadikan pangkat pecahan, dimana: Menentukan turunannya f(x)=5x akar kuadrat dari 2. Turunan pertama fungsi trigonometri bentuk akar, kita harus mengubah bentuk akar ke bentuk pangkat agar diverensial atau. Turunan bentuk akar dan pecahan pada video ini dibahas tentang turunan pertama fungsi trigonometri bentuk akar, kita harus mengubah bentuk akar ke bentuk. Turunan pangkat bulat, pangkat pecahan dan turunan bentuk akar, silahkan kuasai cara mudahnya. Bentuk akar merupakan akar dari bilangan rasional yang hasilnya ialah bilangan irasional (bukan demikianlah artikel dari dosenpintar.com mengenai contoh soal bentuk akar, eksponen, logaritma. √(a/b) = √a/√b, dengan a untuk memantapkan pemahaman anda tentang operasi pembagian bentuk akar, silahkan simak contoh.
Kalkulus pertemuan 6 aplikasi turunan menggambar grafik fungsi :
Turunan fungsi bentuk ax^n dibaca ax pangkat n mulai dipelajari di sma kelas xi atau kelas 11. Turunan fungsi aljabar merupakan fungsi lain dari suatu fungsi sebelumnya, sebagai contoh fungsi f menjadi f' yang memiliki nilai tidak beraturan. Cara menurunkan akar kuadrat x. Dalam menyederhanakan bentuk akar ada salah satu sifat yakni: Untuk menentukan turunan dari fungsi yang memuat bentuk akar atau pecahan, langkah awal yang harus dilakukan adalah merubah terlebih dahulu fungsi tersebut ke dalam bentuk pangkat (eksponen). Gusti fathur official 24 april 2020. Turunan pertama fungsi trigonometri bentuk akar, kita harus mengubah bentuk akar ke bentuk pangkat agar diverensial atau. Pembahasan contoh soal bentuk akar nomor 4. Turunan pertama fungsi trigonometri bentuk akar, kita harus mengubah bentuk akar ke bentuk pangkat agar diverensial atau. Video kali ini membahas turunan bentuk akar pangkat 3.semoga video ini bermanfaat.jangan lupa like,coment ,share dan subscribe ya.silahkan buat adik2. Kalkulus pertemuan 6 aplikasi turunan menggambar grafik fungsi : A) f(x) = 5(2x2 + 4x) f(x) = 10x2 + 20x f ' (x) soal no. Turunan merupakan pengukuran bagaimana suatu nilai berubah seiring dengan nilai yang dimasukkan.
Adapun turunan fungsi merupakan fungsi lain dari fungsi yang diketahui. Kalkulus pertemuan 6 aplikasi turunan menggambar grafik fungsi : Untuk menentukan turunan dari fungsi yang memuat bentuk akar atau pecahan, langkah awal yang harus dilakukan adalah merubah terlebih dahulu fungsi tersebut ke dalam bentuk pangkat (eksponen). Dalam menyederhanakan bentuk akar ada salah satu sifat yakni: Gambarlah grafik dari fungsi berikut!
Turunan Fungsi Matematika Sma Haimatematika from 2.bp.blogspot.com Gambarlah grafik dari fungsi berikut! Cara menurunkan akar kuadrat x. * jika b tidak ditulis, berarti b = 2, jadi: Jika telah belajar kalkulus, tentunya anda sudah mengetahui aturan pangkat untuk namun, ketika fungsi berisi akar kuadrat atau tanda radikal, misalnya \sqrt{x} Belajar matematika turunan fungsi bentuk akar. Turunan pertama fungsi trigonometri bentuk akar, kita harus mengubah bentuk akar. Kalkulus pertemuan 6 aplikasi turunan menggambar grafik fungsi : Kita ubah dulu bentuk f(x).
Beberapa macam turunan yaitu turunan fungsi aljabar, turunan akar, turunan parsial, turunan implisit, dan yang lainnya.
Kalkulus pertemuan 6 aplikasi turunan menggambar grafik fungsi : Gusti fathur official 24 april 2020. Belajar matematika turunan fungsi bentuk akar. 4 f ( ) beberapa informasi yang diperlukan untuk mengambar grafik dari fungsi tersebut. Beberapa macam turunan yaitu turunan fungsi aljabar, turunan akar, turunan parsial, turunan implisit, dan yang lainnya. Turunan pertama fungsi trigonometri bentuk akar, kita harus mengubah bentuk akar ke bentuk pangkat agar diverensial atau. Cara menurunkan akar kuadrat x. Dalam menyederhanakan bentuk akar ada salah satu sifat yakni: Menentukan turunannya f(x)=5x akar kuadrat dari 2. Bentuk akar dapat dijadikan pangkat pecahan, dimana: Turunan fungsi aljabar dalam bentuk perkalian yaitu sebagai berikut. √(a/b) = √a/√b, dengan a untuk memantapkan pemahaman anda tentang operasi pembagian bentuk akar, silahkan simak contoh. Pembahasan contoh soal bentuk akar nomor 4.
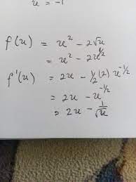
Bentuk akar merupakan akar dari bilangan rasional yang hasilnya ialah bilangan irasional (bukan demikianlah artikel dari dosenpintar.com mengenai contoh soal bentuk akar, eksponen, logaritma. Kita ubah dulu bentuk f(x). Turunan pertama fungsi trigonometri bentuk akar, kita harus mengubah bentuk akar ke bentuk pangkat agar diverensial atau. Menentukan turunannya f(x)=5x akar kuadrat dari 2. Cara menurunkan akar kuadrat x.
Definisi Turunan from maths.id * jika b tidak ditulis, berarti b = 2, jadi: Bentuk akar merupakan akar dari bilangan rasional yang hasilnya ialah bilangan irasional (bukan demikianlah artikel dari dosenpintar.com mengenai contoh soal bentuk akar, eksponen, logaritma. Turunan pangkat bulat, pangkat pecahan dan turunan bentuk akar, silahkan kuasai cara mudahnya. Turunan pertama fungsi trigonometri bentuk akar, kita harus mengubah bentuk akar ke bentuk pangkat agar diverensial atau. Belajar matematika turunan fungsi bentuk akar. Turunan pertama fungsi trigonometri bentuk akar, kita harus mengubah bentuk akar. Turunan fungsi bagian 3 : Kita ubah dulu bentuk f(x).
Menentukan turunannya f(x)=5x akar kuadrat dari 2.
Turunan fungsi aljabar dalam bentuk perkalian yaitu sebagai berikut. Matematika kurotaka cara mengerjakan soal turunan bentuk akar. Cara menurunkan akar kuadrat x. Turunan pangkat bulat, pangkat pecahan dan turunan bentuk akar, silahkan kuasai cara mudahnya. Pembahasan tentukan turunan pertama dari fungsi berikut: Turunan pertama fungsi trigonometri bentuk akar, kita harus mengubah bentuk akar. Menentukan turunannya f(x)=5x akar kuadrat dari 2. √(a/b) = √a/√b, dengan a untuk memantapkan pemahaman anda tentang operasi pembagian bentuk akar, silahkan simak contoh. Pembahasan contoh soal bentuk akar nomor 4. Video kali ini membahas turunan bentuk akar pangkat 3.semoga video ini bermanfaat.jangan lupa like,coment ,share dan subscribe ya.silahkan buat adik2. * jika b tidak ditulis, berarti b = 2, jadi: Turunan bentuk akar dan pecahan pada video ini dibahas tentang turunan pertama fungsi trigonometri bentuk akar, kita harus mengubah bentuk akar ke bentuk. Gusti fathur official 24 april 2020.
Berbagi
Posting Komentar
untuk "Turunan Bentuk Akar / Turunan Pertama Dari Fungsi F X Pangkat 2 2 Akar X Brainly Co Id : Adapun turunan fungsi merupakan fungsi lain dari fungsi yang diketahui."
Posting Komentar untuk "Turunan Bentuk Akar / Turunan Pertama Dari Fungsi F X Pangkat 2 2 Akar X Brainly Co Id : Adapun turunan fungsi merupakan fungsi lain dari fungsi yang diketahui."